
ale package handling of various input datatypes
Chitu Okoli
August 27, 2025
Source:vignettes/ale-x-datatypes.Rmd
ale-x-datatypes.RmdThis vignette demonstrates how ale works for various input datatypes. You should first read the introductory vignette that explains general functionality of the package; this vignette is a demonstration of specific functionality.
We begin by loading the necessary libraries.
library(ale)
#>
#> Attaching package: 'ale'
#> The following object is masked from 'package:base':
#>
#> get
library(dplyr)
#>
#> Attaching package: 'dplyr'
#> The following objects are masked from 'package:stats':
#>
#> filter, lag
#> The following objects are masked from 'package:base':
#>
#> intersect, setdiff, setequal, union
var_cars: modified mtcars dataset (Motor
Trend Car Road Tests)
For this demonstration, we use a modified version of the built-in
mtcars dataset so that it has binary (logical), categorical
(factor, that is, non-ordered categories), ordinal (ordered factor),
discrete interval (integer), and continuous interval (numeric or double)
values. This modified version, called var_cars, will let us
test all the different basic variations of x variables. For the factor,
it adds the country of the car manufacturer.
The data is a tibble with 32 observations on 12 variables:
| Variable | Format | Description |
|---|---|---|
| mpg | double | Miles/(US) gallon |
| cyl | integer | Number of cylinders |
| disp | double | Displacement (cu.in.) |
| hp | double | Gross horsepower |
| drat | double | Rear axle ratio |
| wt | double | Weight (1000 lbs) |
| qsec | double | 1/4 mile time |
| vs | logical | Engine (0 = V-shaped, 1 = straight) |
| am | logical | Transmission (0 = automatic, 1 = manual) |
| gear | ordered | Number of forward gears |
| carb | integer | Number of carburetors |
| country | factor | Country of car manufacturer |
print(var_cars)
#> # A tibble: 32 × 14
#> model mpg cyl disp hp drat wt qsec vs am gear carb
#> <chr> <dbl> <int> <dbl> <dbl> <dbl> <dbl> <dbl> <lgl> <lgl> <ord> <int>
#> 1 Mazda RX4 21 6 160 110 3.9 2.62 16.5 FALSE TRUE four 4
#> 2 Mazda RX4 … 21 6 160 110 3.9 2.88 17.0 FALSE TRUE four 4
#> 3 Datsun 710 22.8 4 108 93 3.85 2.32 18.6 TRUE TRUE four 1
#> 4 Hornet 4 D… 21.4 6 258 110 3.08 3.22 19.4 TRUE FALSE three 1
#> 5 Hornet Spo… 18.7 8 360 175 3.15 3.44 17.0 FALSE FALSE three 2
#> 6 Valiant 18.1 6 225 105 2.76 3.46 20.2 TRUE FALSE three 1
#> 7 Duster 360 14.3 8 360 245 3.21 3.57 15.8 FALSE FALSE three 4
#> 8 Merc 240D 24.4 4 147. 62 3.69 3.19 20 TRUE FALSE four 2
#> 9 Merc 230 22.8 4 141. 95 3.92 3.15 22.9 TRUE FALSE four 2
#> 10 Merc 280 19.2 6 168. 123 3.92 3.44 18.3 TRUE FALSE four 4
#> # ℹ 22 more rows
#> # ℹ 2 more variables: country <fct>, continent <fct>
summary(var_cars)
#> model mpg cyl disp
#> Length:32 Min. :10.40 Min. :4.000 Min. : 71.1
#> Class :character 1st Qu.:15.43 1st Qu.:4.000 1st Qu.:120.8
#> Mode :character Median :19.20 Median :6.000 Median :196.3
#> Mean :20.09 Mean :6.188 Mean :230.7
#> 3rd Qu.:22.80 3rd Qu.:8.000 3rd Qu.:326.0
#> Max. :33.90 Max. :8.000 Max. :472.0
#> hp drat wt qsec
#> Min. : 52.0 Min. :2.760 Min. :1.513 Min. :14.50
#> 1st Qu.: 96.5 1st Qu.:3.080 1st Qu.:2.581 1st Qu.:16.89
#> Median :123.0 Median :3.695 Median :3.325 Median :17.71
#> Mean :146.7 Mean :3.597 Mean :3.217 Mean :17.85
#> 3rd Qu.:180.0 3rd Qu.:3.920 3rd Qu.:3.610 3rd Qu.:18.90
#> Max. :335.0 Max. :4.930 Max. :5.424 Max. :22.90
#> vs am gear carb country
#> Mode :logical Mode :logical three:15 Min. :1.000 Germany: 8
#> FALSE:18 FALSE:19 four :12 1st Qu.:2.000 Italy : 4
#> TRUE :14 TRUE :13 five : 5 Median :2.000 Japan : 6
#> Mean :2.812 Sweden : 1
#> 3rd Qu.:4.000 UK : 1
#> Max. :8.000 USA :12
#> continent
#> Asia : 6
#> Europe :14
#> North America:12
#>
#>
#> Modelling with ALE and GAM
With GAM, only numeric variables can be smoothed, not binary or
categorical ones. However, smoothing does not always help improve the
model since some variables are not related to the outcome and some that
are related actually do have a simple linear relationship. To keep this
demonstration simple, we have done some earlier analysis (not shown
here) that determines where smoothing is worthwhile on the modified
var_cars dataset, so only some of the numeric variables are
smoothed. Our goal here is not to demonstrate the best modelling
procedure but rather to demonstrate the flexibility of the
ale package.
gam_cars <- mgcv::gam(
mpg ~ cyl + disp + hp + drat + wt + s(qsec) +
vs + am + gear + carb + country,
data = var_cars
)
summary(gam_cars)
#>
#> Family: gaussian
#> Link function: identity
#>
#> Formula:
#> mpg ~ cyl + disp + hp + drat + wt + s(qsec) + vs + am + gear +
#> carb + country
#>
#> Parametric coefficients:
#> Estimate Std. Error t value Pr(>|t|)
#> (Intercept) -7.84775 12.47080 -0.629 0.54628
#> cyl 1.66078 1.09449 1.517 0.16671
#> disp 0.06627 0.01861 3.561 0.00710 **
#> hp -0.01241 0.02502 -0.496 0.63305
#> drat 4.54975 1.48971 3.054 0.01526 *
#> wt -5.03737 1.53979 -3.271 0.01095 *
#> vsTRUE 12.45630 3.62342 3.438 0.00852 **
#> amTRUE 8.77813 2.67611 3.280 0.01080 *
#> gear.L 0.53111 3.03337 0.175 0.86525
#> gear.Q 0.57129 1.18201 0.483 0.64150
#> carb -0.34479 0.78600 -0.439 0.67223
#> countryItaly -0.08633 2.22316 -0.039 0.96995
#> countryJapan -3.31948 2.22723 -1.490 0.17353
#> countrySweden -3.83437 2.74934 -1.395 0.19973
#> countryUK -7.24222 3.81985 -1.896 0.09365 .
#> countryUSA -7.69317 2.37998 -3.232 0.01162 *
#> ---
#> Signif. codes: 0 '***' 0.001 '**' 0.01 '*' 0.05 '.' 0.1 ' ' 1
#>
#> Approximate significance of smooth terms:
#> edf Ref.df F p-value
#> s(qsec) 7.797 8.641 5.975 0.0101 *
#> ---
#> Signif. codes: 0 '***' 0.001 '**' 0.01 '*' 0.05 '.' 0.1 ' ' 1
#>
#> R-sq.(adj) = 0.955 Deviance explained = 98.8%
#> GCV = 6.4263 Scale est. = 1.6474 n = 32Now we generate ALE data from the gam_cars GAM model and
plot it.
# For faster processing, you can enable parallel processing: set the number of CPU cores available. See help(ALE) for details.
options(ale.parallel = 2)
# For speed, these examples use retrieve_rds() to load pre-created objects
# from an online repository.
# To run the code yourself, execute the code blocks directly.
serialized_objects_site <- "https://github.com/tripartio/ale/raw/main/download"
# # To run the slow code yourself, uncomment and execute this code block directly.
# # For models like mgcv::gam that store their data,
# # there is no need to specify the data argument.
# ale_cars_1D <- ALE(gam_cars)
ale_cars_1D <- retrieve_rds(
# For speed, load a pre-created object by default.
c(serialized_objects_site, 'ale_cars_1D.0.5.2.rds'),
{
}
)
# saveRDS(ale_cars_1D, file.choose())
# Print all plots
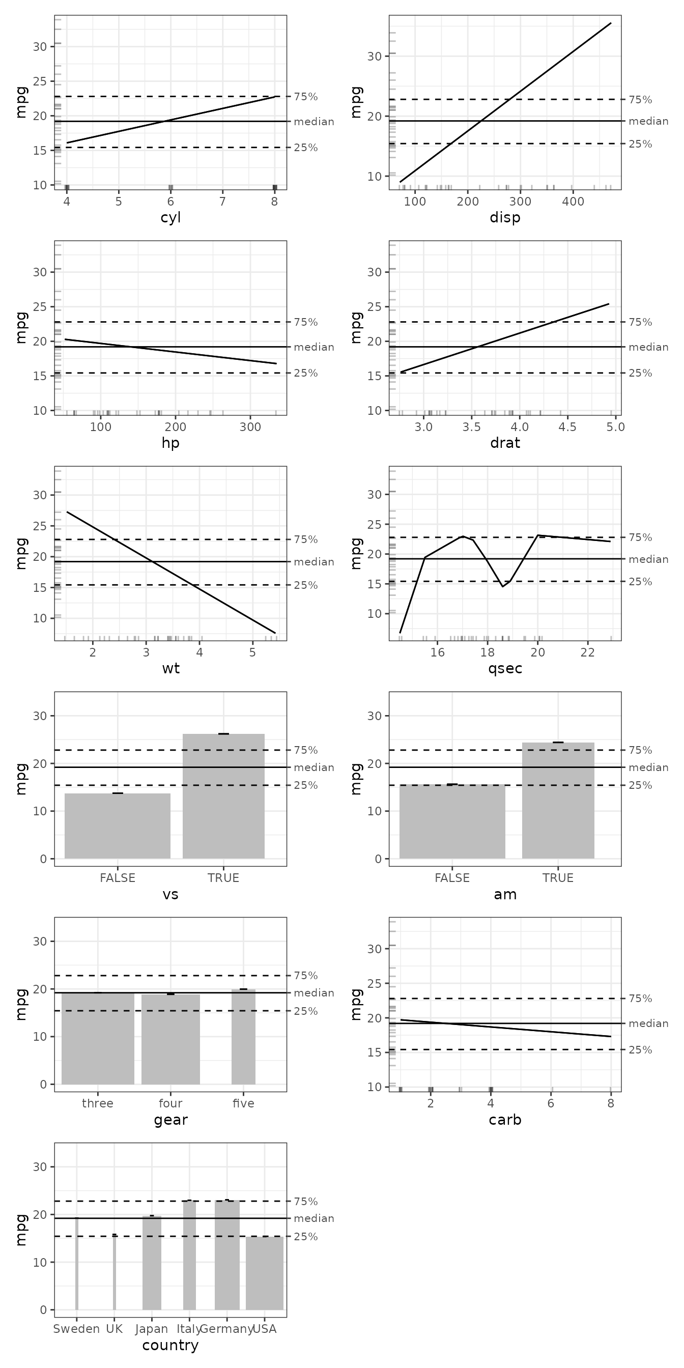
plot(ale_cars_1D) |>
print(ncol = 2)
We can see that ALE() has no trouble modelling any of
the datatypes in our sample (logical, factor, ordered, integer, or
double). It plots line charts for the numeric predictors and column
charts for everything else.
The numeric predictors have rug plots that indicate in which ranges
of the x (predictor) and y (mpg) values data actually
exists in the dataset. This helps us to not over-interpret regions where
data is sparse. Since column charts are on a discrete scale, they cannot
display rug plots. Instead, the percentage of data represented by each
column is displayed.
We can also generate and plot the ALE data for all two-way interactions.
# # # To run the slow code yourself, uncomment and execute this code block directly.
# # For models like mgcv::gam that store their data,
# # there is no need to specify the data argument.
# ale_cars_2D <- ALE(
# gam_cars,
# x_cols = list(d2 = TRUE)
# )
ale_cars_2D <- serialized_objects_site |>
file.path('ale_cars_2D.0.5.2.rds') |>
url() |>
readRDS()
# Print plots
plot(ale_cars_2D) |>
print(
ncol = 2,
# By default, at most 20 plots are printed. Set max_print to increase this limit
max_print = 100
)
There are no interactions in this model but the point of this
demonstration is to show that the ale package can handle 2D
interactions between just about any pair of interaction types:
numeric-numeric, ordinal-binary, categorical-ordinal, etc.
Finally, as explained in the vignette on modelling with small datasets, a more appropriate modelling workflow would require bootstrapping the entire model, not just the ALE data. So, let’s do that now.
# # To run the slow code yourself, uncomment and execute this code block directly.
# # For models like mgcv::gam that store their data,
# # there is no need to specify the data argument.
# mb_cars <- ModelBoot(gam_cars) # 100 bootstrap iterations by default
mb_cars <- serialized_objects_site |>
file.path('mb_cars.0.5.2.rds') |>
url() |>
readRDS()
plot(mb_cars) |>
print(ncol = 2)
(By default, a ModelBoot object creates 100 bootstrap
samples but, so that this illustration runs faster, we demonstrate it
here with only 10 iterations.)
With such a small dataset, the bootstrap confidence interval always overlap the median, indicating that this dataset cannot support any claims that any of its variables has a meaningful effect on fuel efficiency (mpg). Considering that the average bootstrapped ALE values suggest various intriguing patterns, the problem is no doubt that the dataset is too small–if more data were collected and analyzed, some of the patterns would probably be confirmed.